G ′ h ( x) = lim x → 0 g ( h ( x) Δ x) g ( h ( x)) Δ x Simply replace all the x 's in the formula with h ( x) since that is now the new value of the function where you are taking the limit at You might see that this is the same as d d tan ( x) tan 3 ( x) The power rule tells us that d d x x 3 = 3 x 2 Find the derivative of tan (2x 3) Updated On To keep watching this video solution for FREE, Download our App Join the 2 Crores Student community now!Integral of tan^2x, solution playlist page http//wwwblackpenredpencom/math/Calculushtmltrig integrals, trigonometric integrals, integral of sin(x), integ
Find The Derivative Of The Given Function Y Tan 2x 1 Cot 2x I Tried Converting The Original Function In Terms Of Sin And Cos But It Was Still Too Complicated To Be Called Simplified
Mile 22 find the derivative of tan(2x+3)
Mile 22 find the derivative of tan(2x+3)-The Derivative Calculator lets you calculate derivatives of functions online — for free!Find the derivative of tan (2x 3) Updated On 117 To keep watching this video solution for FREE, Download our App Join the 2 Crores Student community now!



What Is The Integration Of Tan 2x Solution Quora
Derivative of tan − 1 (1 − x 2 x ) with respect to sin − 1 (3 x − 4 x 3) is A 1 − x 2 1 B 1 − x 2 3 C 3 D 3 1 Medium Open in App Solution Verified by Toppr Correct option is D 3 1 Let x = sin θ ⇒ tan − 1 (1 − x 2 x ) = tan − 1 (1 − sin 2 θ sin θ ) = tan − 1 (cos θ sin θ ) = θ = u d θ d u = 1 again, replacing x = sin θ sin − 1 (3 x − 4 x 3Solve your math problems using our free math solver with stepbystep solutions Our math solver supports basic math, prealgebra, algebra, trigonometry, calculus and moreSolution For Find the derivative of tan (2x 3) Become a Tutor Blog Cbse Question Bank Pdfs Micro Class Download App Class 12 Math Calculus Continuity and Differentiability 531 150 Find the derivative of tan (2 x 3) 531 150 Connecting you to a tutor in 60 seconds Get answers to your doubts Similar Topics relations and functions integrals trigonometric functions inverse
Find the derivative of tan (2x3) Apne doubts clear karein ab Whatsapp par bhi Try it now CLICK HERE Watch 1000 concepts & tricky questions explained!Our calculator allows you to check your solutions to calculus exercises It helps you practice by showing you the full working (step by step differentiation) The Derivative Calculator supports computing first, second, , fifth derivatives as well as differentiating functions with many variablesThe derivative of `f(x)=tan(2x pi/2)` is `f'(x) = 2*sec^2(2x pi/2)` and at `x = 3*pi/4` the slope of the tangent is 2 Approved by eNotes Editorial Team Luca BY=tanh^3 (2x) * u=2x → du = 2dx * * y=tanh^3 (u) * * z=tanu → dz= 1 (tan u)^2 du * y=z^3 →dy = 3z^2 dz dy = 3z^2 dz dy = 3(tanu )^2 dz dy = 3(tanu )^2 *(1Solution For Find the derivative of tan (2x 3) HOME BECOME A TUTOR
Y = tan^3(x) , find the derivative About Press Copyright Contact us Creators Advertise Developers Terms Privacy Policy & Safety How works Test new features © 21 Google LLCWatch Video in App This browser does not support the video element 34 k 100 Answer Step by step solution by experts to help you in doubt clearance & scoring excellent marks in exams Related72 K views 300 people like this Like Share Share Answer Text Answer `2 sec^(2) (2x3)` Related Video



The Derivative Of H X 2 Sec 2 X Tan X Product Rule Example Youtube



What Is The Integration Of Tan 2x Solution Quora
Examples \frac {d} {dx} (\frac {3x9} {2x}) \frac {d^2} {dx^2} (\frac {3x9} {2x}) (\sin^2 (\theta))'' derivative\of\f (x)=34x^2,\\x=5 implicit\derivative\\frac {dy} {dx},\ (xy)^2=xy1Solution For Find the derivative of tan (2x 3) DOWNLOAD APP MICRO CLASS PDFs CBSE QUESTION BANK BLOG BECOME A TUTOR HOME HOME BECOME A TUTOR BLOG CBSE QUESTION BANK PDFs MICRO CLASS DOWNLOAD APP Class 12 Math Calculus Continuity and Differentiability 533 150 Find the derivative of tanClick here👆to get an answer to your question ️ Find the derivative of following functions wrt x tan (2x 3)



Ii F Find Derivative Of Tan 2x At X Pi 6 Youtube



Derivative Of Arctan X Inverse Tangent Detailed Lesson
What Is The Derivative Of tan (x)?Example 22 Find derivative of tan (2x 3) Chapter 5 Class 12 Read more Comments Estimate the blanking force to cut a blank 25 mm wide and Ex 134, 10 Find mean number of heads in three tosses of Ex 73, 4 Find number of 4digit numbers that can be formed New General Maths SSS13 Step By Step Solutions To All Ex 71, 18 Integrate sec x (sec x tanDerivative of 2tan (2x) Simple step by step solution, to learn Simple, and easy to understand, so don`t hesitate to use it as a solution of your homework Below you can find the full step by step solution for you problem We hope it will be very helpful for you and it will help you to understand the solving process



What Does Tan 2 Differentiate To



1
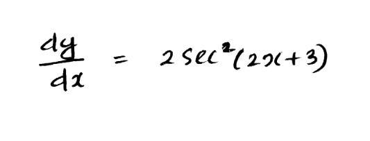
Derivative of tan(5x^32x^2) Simple step by step solution, to learn Simple, and easy to understand, so don`t hesitate to use it as a solution of your homework Below you can find the full step by step solution for you problem We hope it will be very helpful for you and it will help you to understand the solving process If it's not what You are looking for type in the derivativeShare It On Facebook Twitter Email 1 Answer 1 vote answered by PritiKumari (491k points) selected by Ruksar03 Best answer Let y = tan (2x 3) Diff wrtx, dy/dx = d/dx(tan(2x 3)) = sec 2 (2x 3) d/dx (2x 3) = sec 2 (2x 3)(2 × 1 0) = 2 sec 2 (2x 33 (7) (8) (4) Choose An Option That Best Describes Your Problem Answer not in Detail Incomplete



Find The Derivative Of The Given Function Y Tan 2x 1 Cot 2x I Tried Converting The Original Function In Terms Of Sin And Cos But It Was Still Too Complicated To Be Called Simplified



Differentiation Of Tan 2 X And X 3 X 4 Youtube
Find the derivative of tan^1 (2x3) wrt to x Apne doubts clear karein ab Whatsapp par bhi Try it now CLICK HERE 1x 15x 2x Loading DoubtNut Solution for you Watch 1000 concepts & tricky questions explained!Find the Derivative d/dx y=3tan(2x) Since is constant with respect to , the derivative of with respect to is Differentiate using the chain rule, which states that is where andFind the derivative of tan (2x3) Apne doubts clear karein ab Whatsapp par bhi Try it now CLICK HERE 1x 15x 2x Loading DoubtNut Solution for you Watch 1000 concepts & tricky questions explained!



Derivative Of Tan 2x 1



The Derivative Of Sec 2 X With Respect To Tan 2 X Is
Let y = tan (2x 3) We need to find derivative of y, ie 𝑑𝑦/𝑑𝑥 = (𝑑 tan〖(2𝑥3)〗)/𝑑𝑥 = sec2(2x 3) × (𝑑(2𝑥 3))/𝑑𝑥 = sec2 (2x 3) × 2 = 2 sec2 (2x 3) (As (tan x)' = sec2 x)\frac {d} {dx} {tanx} = \frac {d} {dx} \frac {sinx} {cosx} we know that tanx =\frac {sinx} {cosx}Find the derivative of tan (2x 3) Apne doubts clear karein ab Whatsapp par bhi Try it now CLICK HERE 1x 15x 2x Loading DoubtNut Solution for you Watch 1000 concepts & tricky questions explained!



The Derivative Of Tan 2x Derivativeit



Ex 13 1 22 Lim X Pi 2 Tan 2x X Pi 2 Chapter 13 Class 11
About Press Copyright Contact us Creators Advertise Developers Terms Privacy Policy & Safety How works Test new features Press Copyright Contact us CreatorsFind the derivative of tan (2x3) Apne doubts clear karein ab Whatsapp par bhi Try it now CLICK HERE 1x 15x 2x Loading DoubtNut Solution for you Watch 1000 concepts & tricky questions explained!If you are new to chain rule, I would suggest you create new variables (in your head once you become good at it So here they are $$ u = 2x^4\\ v= \tan^{1} u \\ y=\ln v $$ to get $$ y = \ln(\tan^{1}(2 x^4)$$



06 Derivative By Substitution Of Trigonometric Ratio Tan 2 X 3 2tans Tan2x Youtube



What Is The Derivative Y Square Root 1 2x 1 4 Chegg Com
Watch Video in App This browser does not support the video element 1555 k 78 k Answer Step by step solution by experts to help you in doubt clearance & scoring excellent marks in exams Image Solution Find63 K views 13 K people like this Like Share Share Answer Text Answer `2 sec^(2) (2x3)` Related VideoY = sec^2(x) tan^2(x), Find the derivative of the function



Lesson 3 6 Implicit Differentiation Objectives Use Implicit



Worked Example Derivative Of Sec 3p 2 X Using The Chain Rule Video Khan Academy
The derivative of tan−1x is 1 1 x2 (for "why", see note below) So, applying the chain rule, we get d dx (tan−1u) = 1 1 u2 ⋅ du dx In this question u = 2x, so we get d dx (tan−12x) = 1 1 (2x)2 ⋅ d dx (2x) = 2 1 4x223 K views 17 K people like this Like Share Share Answer Text Answer `2 sec^(2) (2x3)` Related Answer Related Video 218Find the derivative of tan(2x3) Share with your friends Share 2 hiejahangeerwel i was confused at the initial pointwhre u postdcalculus's sum in determinantssectionwel nywyhere iz the ans to ur ques y = tan(2x3) dy/dx = sec 2 x (2x 3) multiplied with 2 { since tanx= sec 2 x } so answer = 2sec 2 x (2x3) cheers !!!!!



Differentiation Of Tanx 2 Youtube



Derivative Of Tan X
The derivative of tan ( u) tan ( u) with respect to u u is sec 2 ( u) sec 2 ( u) Replace all occurrences of u u with 2 x − x 3 2 x x 3 Differentiate Tap for more steps By the Sum Rule, the derivative of 2 x − x 3 2 x x 3 with respect to x x is d d x 2 x d d x − x 3 d d x 2 x d d x x 3 Find the derivative of following functions wrt x tan (2x 3) differentiation; The Second Derivative Of cot^2x To calculate the second derivative of a function, differentiate the first derivative From above, we found that the first derivative of cot^2x = 2csc 2 (x)cot(x) So to find the second derivative of cot^2x, we need to differentiate 2csc 2 (x)cot(x) We can use the product and chain rules, and then simplify to find the derivative of 2csc 2 (x



Weierstrass Substitution Wikipedia



How To Differentiate Y Tan 1 2x 1 X 2 For The Inverse Trigonometric Function Quora
How to calculate the derivative of tan(2x) Note that in this post we will be looking at differentiating tan(2x) which is not the same as differentiating tan 2 (x) Here is our post dealing with how to differentiate tan^2(x) The chain rule is useful for finding the derivative of a function which could have been differentiated had it been in x, but it is in the form of another expression We can use the chain rule to find the derivative of 3sec 2 (3x) (bearing in mind that the derivative of sec^2(x) is 2sec 2 (x)tan(x)) and it gives us a result of 18sec 2 (3x)tan(3x) The second derivative of tan(2x) is 18sec 2 (3x)tan(3x) Posted in Trigonometric Functions Published by DerivativeIt View all posts by DerivativeIt Post navigation ‹ Previous The Derivative of ln^3(x)The derivative of tan 2x is 2 sec 2 (2x) (ie) d/dx tan 2x = 2 sec 2 (2x) Explanation We know that the derivative of tan x is sec 2 x (ie) d/dx (tan x) = sec 2 x According to the chain rule, d/dx tan 2x = sec 2 (2x) d/dx (2x) Therefore, d/dx tan 2x = 2 sec 2 (2x) Was this answer helpful?



2



Find The Derivative Of Tan 2x 3 Brainly In
Find the derivative of the function tan (2x 3) from the definition (first principles) ← Prev Question Next Question → 0 votes 57k views asked in Mathematics by Devanshi (674k points) Find the derivative of the function tan (2x 3) from the definition (first principles) class12;Find the Derivative d/dX y=3^(2X) Differentiate using the chain rule, which states that is where and Tap for more steps To apply the Chain Rule, set as Differentiate using the Exponential Rule which states that is where = Replace all occurrences of with Differentiate Tap for more steps Since is constant with respect to , the derivative of with respect to is Move to the left What is the derivative of tan x3?



Derivative Of Tangent X Sec X Tan X Longer Free Tutorial Get Education Bee



Solved Please Show All Steps And All Work 3 Find The Der
Derivative of tan (3x^22x) Simple step by step solution, to learn Simple, and easy to understand, so don`t hesitate to use it as a solution of your homework Below you can find the full step by step solution for you problem We hope it will be very helpful for you and it will help you to understand the solving processShare It On Facebook Twitter Email 1 Answer 1 vote answered byTo apply the Chain Rule, set u u as tan ( x) tan ( x) Differentiate using the Power Rule which states that d d u u n d d u u n is n u n − 1 n u n 1 where n = 3 n = 3 Replace all occurrences of u u with tan ( x) tan ( x) The derivative of tan(x) tan ( x) with respect to x x is sec2(x) sec 2 ( x) Reorder the factors of 3tan2(x)sec2



What Is The 2nd Derivative Of Y Tanx Socratic



Lim X P 2 Tan2x X P 2 Sarthaks Econnect Largest Online Education Community
900 views 45 people like this Like Share Share Related Video 223View Full Answer 2sec 2 x (2x3) 1 ;Hi !!Solution Let f(x) = tan(2x3) , u(x) = 2x 3 = tan(2x3) = f(x) Thus, F is a composite of two function put t = u(x) = 2x 3 , then dvldt = sec²t dt/dx = RJRishabh RJRishabh Math Secondary School answered *Find the derivative of tan(2x3) * 2 See answers



Derivatives Of The Trigonometric Functions



Ex 7 2 21 Integrate Tan2 2x 3 Class 12 Cbse Ex 7 2
Calculus Differentiating Trigonometric Functions Special Limits Involving sin (x), x, and tan (x) 1 Answer Konstantinos Michailidis The derivative is 3x2 ⋅ sec2(x3) where secx is the secant function Rewrite original equation f (x) = (tanx)3 tan(x3) Use the chain rule f (x)' = 3(tanx)2(sec2x) sec2(x3)(3x2) Rearrange f (x)' = 3tan2xsec2x 3x2sec2x3 Answer link12 K views 61 K people like



The Derivative Of Tan 2x Derivativeit



Solved Find The First And The Second Order Partial Chegg Com
Derivative of (2x^36x)tan (3x) Simple step by step solution, to learn Simple, and easy to understand, so don`t hesitate to use it as a solution of your homework Below you can find the full step by step solution for you problem We hope it will be very helpful for you and it will help you to understand the solving process



Prove That Derivative Of Tan X Is Sec 2 X By First Principle



1 Derivatives Of Sine Cosine And Tangent



Solved Inttanx Tan2x Tan3x Dx Is Equal To



What Is The Derivative Of Tan 2x Socratic



Differentiate Tan2x W R T X Brainly In



How To Take The Derivative Of Tan X Video Lesson Transcript Study Com



Ex 7 3 15 Integrate Tan3 2x Sec 2x Class 12 Ncert Ex 7 3



Q42 Differentiate Tan 2x 3 Derivative Of Tan 2x 3 Differentiation Of Tan 2x 3 Youtube



Differentiate Wrt X Sec 1 1 Tan2x 1 Tan2x Mathematics Topperlearning Com Nti7rxx



Example 22 Find Derivative Of Tan 2x 3 Chapter 5 Class 12



Evaluate The Given Limit Lim X Pi 2 Tan 2x X Pi 2 Mathematics Shaalaa Com



Question Video Differentiating Trigonometric Functions Nagwa



Prove That Derivative Of Tan X Is Sec 2 X By First Principle



Find The Derivative Of Tan 2x 3



R61fvqo Prkpfm



Early Geophysical Papers Of The Early Geophysical Papers Of The Society Of Exploration Geophysicists Earlygeophysical00soci Year 1947 Is Curvature Of Equipotential Surfaces 85 Dk D T R Sin 2x 2s



Find The Derivative Of Tan 2x 3 Brainly In



Derivative Of Tan 2x 1 By First Principle



Solved Differentiate The Following From First Principle Tan 2x 1



Tan2x ただの悪魔の画像



1



Ple 22 Find The Derivative Of Tan 2x 3 Gauthmath



Ex 7 2 21 Integrate Tan2 2x 3 Class 12 Cbse Ex 7 2



Differentiate Sin Tan 1 2x W R T X And Express The Result Free From Trigonometric Symbols From Mathematics Continuity And Differentiability Class 12 Cbse



Weierstrass Substitution Wikipedia



Differentiate The Following From First Principle Tan2x Youtube



Derivative Of Tan 2 X By First Principle



Tan 1 3 2x 1 6x Differentiate W R T X



How To Take The Derivative Of Tan X Video Lesson Transcript Study Com



Find The Derivative Of F X x Sec 2x O A F X 3 Chegg Com



Derivative Of Arctan X Inverse Tangent Detailed Lesson



Find The Derivative Of Tan 2x 3



Tan2x ただの悪魔の画像



Derivative Of Tan 2x 3



Derivative Of Tan 2x 3 Is A 2sec 2x 3 B Sec 2x 3 C Sec 2x 3 D None Of These Snapsolve



How To Prove That The Derivative Of Tan X Is Sec 2 X Quora



Derivative Calculator Wolfram Alpha



Ppt Download



Solved Differentiate The Following Function With Respect To Chegg Com



Find The Derivative Of Y Tan 3 2x Youtube



Derivatives Of Trigonometric Functions



Differentiate The Following By Using First Principle I Tan 2x 1 Ii Tan X Iii Maths Limits And Derivatives Meritnation Com



Geneseo Math 222 01 Trigonometric Integration



Geneseo Math 222 01 Inverse Trig Functions



How Do You Find The Derivative Of Tan 2 3x Socratic



1



Answered Dy 2x 3 If Y Find Dx Tan 2x Bartleby



How Do You Find The Derivative Of Tan 2 3x Socratic



1



Derivative Of Tan X Old Video Khan Academy



Derivative Rules For Trigonometric Functions



Differentiate Tanx Tan 2x Tan 3x Tan 4x W R T X Youtube



05 Derivative Of Tangent Function Tan2x And Tanx 2 Youtube



Second Derivative Of Tan 2x Youtube



What Is The Derivative Of Sec 3 2x 3sec 2x Socratic



The Derivative Of Tan X Is Sec 2 X Why Mathematics Stack Exchange



How Do I Integrate Tan 2 X Youtube



How To Take The Derivative Of Tan X Video Lesson Transcript Study Com



Find The Derivative Of Tan 2x 3



Derivative Of Tan X Old Video Khan Academy



How To Take The Derivative Of Tan X Video Lesson Transcript Study Com



Derivative Of Tan F X Y Web Applications Stack Exchange



The Derivative Of Tan 2x W R T Cos 2x Is Maths Limits And Derivatives Meritnation Com



2nd Puc Maths Question Bank Chapter 5 Continuity And Differentiability Ex 5 5 Kseeb Solutions



Solved If Y 3 Log9 1 Tan 2x Then Dydx



How To Prove That The Derivative Of Tan X Is Sec 2 X Quora



Differentiate The Following By Using First Principle I Tan 2x 1 Ii Tan X Iii Maths Limits And Derivatives Meritnation Com



What Is The Formula Of Tan2x Quora



Tan2x ただの悪魔の画像



Derivatives Of Tan X And Cot X Video Khan Academy



Clicker Question 1 What Is The Derivative Of F X 7x 4 E X Sin X A 28x 3 E X Cos X B 28x 3 E X Cos X



Tan2x ただの悪魔の画像



1 Derivatives Of Sine Cosine And Tangent



Derivative Of Tan X Proof In Easy Steps Calculus How To


0 件のコメント:
コメントを投稿